El proyecto, que ha sido objeto de controversia debido a su magnitud y ubicación

En medio del rechazo de un amplio sector de la población y amparos tramitados ante el Tribunal Colegiado de Circuito, el Secretario de Obras Públicas (SOP), Ángel Carlos Torres Culebro, ha hecho público que el controvertido proyecto denominado Circuito Interior «Chiapas de Corazón» avanzará según lo programado en la convocatoria pública 006E/2023. La obra, que tiene previsto iniciar el 30 de agosto de 2023 y concluir el 15 de noviembre de 2024, estará a unos días de finalizar en el actual sexenio.
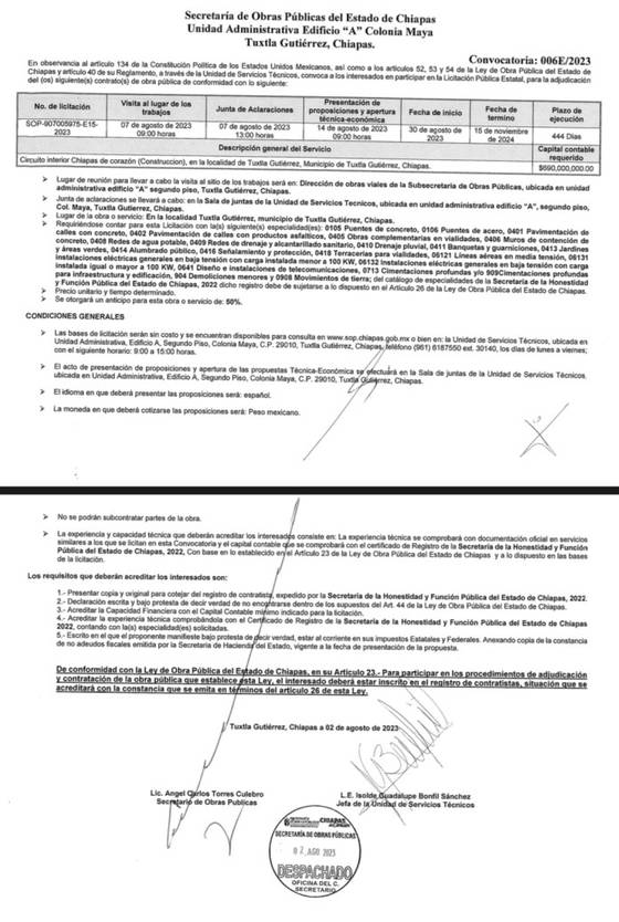
l proyecto, que ha sido objeto de controversia debido a su magnitud y ubicación, ha sido licitado bajo el número SOP-907005975-E15-2023. El lugar de los trabajos será visitado por los interesados el 7 de agosto a las 09:00 horas, y la junta de aclaraciones se llevará a cabo ese mismo día, a las 13:00 horas del 2023. La presentación de proposiciones y apertura técnica económica se realizará el 14 de agosto del 2023 a las 09:00 horas.
De acuerdo con la licitación pública, el proyecto Circuito Interior «Chiapas de Corazón» en Tuxtla Gutiérrez requerirá un capital contable de 690 millones de pesos. El plazo estimado para la ejecución de la obra será de 444 días, tal y como se especifica en el documento público.
Cumpliendo con la normativa legal, en particular el artículo 134 de la Constitución Política de los Estados Unidos Mexicanos, así como los artículos 52, 53 y 54 de la Ley de Obra Pública del Estado de Chiapas y el artículo 40 de su Reglamento, la Secretaría de Obras Públicas, a través de la Unidad de Servicios Técnicos, convoca a los interesados a participar en la Licitación Pública Estatal para la adjudicación del o los contratos de la obra pública «Circuito Interior Chiapas de Corazón».
El proyecto contempla la construcción de una nueva vialidad de 2.1 kilómetros en un segundo piso, abarcando áreas en el boulevard Manuel Velasco Suárez, prolongación Caña Hueca, Reloj Floral, quinta norte y boulevard Los Laguitos, con una inversión total de 2 mil 300 millones de pesos, ubicada frente a los parques Joyyo Mayu, Caña Hueca y Tuchtlán.
Se espera que la obra, una vez concluida, mejore la conectividad y el flujo vehicular en la zona, pero diversas voces ciudadanas han manifestado su preocupación por posibles impactos ambientales y sociales negativos que puedan surgir durante la construcción y operación del proyecto.
El principal punto de discordia es el otorgamiento de un anticipo del 50 por ciento a la empresa ganadora, de acuerdo con la presentación del proyecto realizada en febrero de este año. La comunidad ha expresado su inquietud respecto a la transparencia y fiscalización de los recursos destinados a la obra, así como la necesidad de una mayor participación ciudadana en la toma de decisiones que afecten su entorno.
A medida que se acerca la fecha de inicio de la obra, las expectativas y las tensiones aumentan en Tuxtla Gutiérrez, mientras los ciudadanos y las autoridades continúan debatiendo sobre los beneficios y las consecuencias del proyecto «Circuito Interior Chiapas de Corazón».

// Tomado de: http://Heraldo de Chiapas
Deja un comentario